[PR]
[PR]上記の広告は3ヶ月以上新規記事投稿のないブログに表示されています。新しい記事を書く事で広告が消えます。
プログラミング、3DCGとその他いろいろについて
[PR]上記の広告は3ヶ月以上新規記事投稿のないブログに表示されています。新しい記事を書く事で広告が消えます。
タイムパラドックスを回避するためには時として確率がねじ曲がった異常な現象を起こさねばいけませんが、一度ねじ曲げるとそれ以上ねじ曲げる必要はなくなります。タイムパラドックスが回避される前提で確率が歪められたので、後はどのルートを通っても確実にタイムパラドックスは回避されるのです。
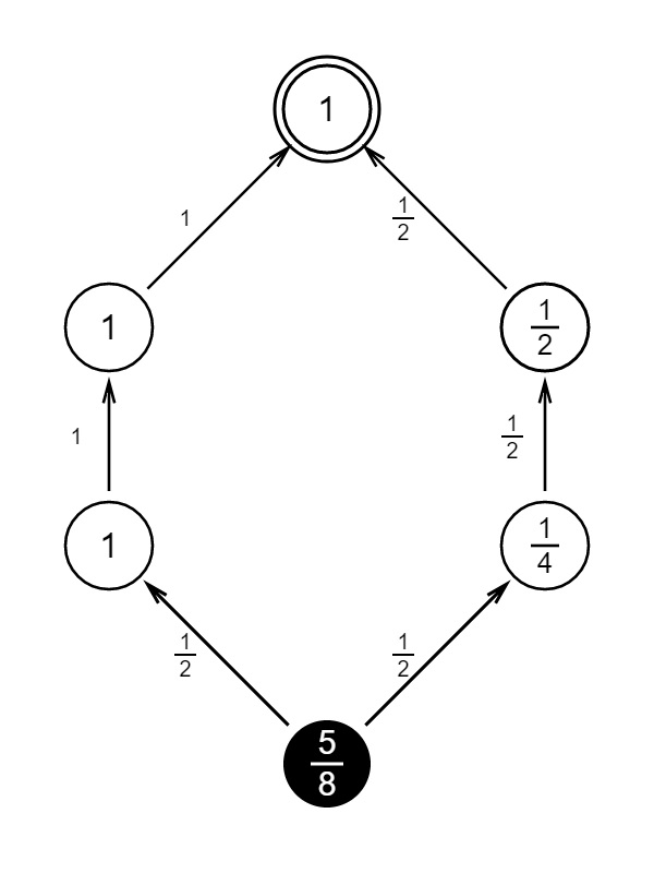
次のような確率的に状態が変化する世界があったとします。矢印の近くに書かれているのは状態が変わっていく確率で、たとえば矢印に1/2と書かれていたら、1/2の確率で矢印の向こう側に行くということを意味しています。
ここで今、タイムマシンによって未来に◎の状態になることがわかったとします(今の状態は●)。すると、その確率は1でなければいけません。そこで◎の中に1を書き込みます。そこから逆算して、過去の○の中にも数字を書き込んでいきます。
時間を遡って現在の状態に5/8を書き込みます。これは、今の状態からこの確率のとおりに世界の時間を進めていくと、タイムパラドックスを避けられる確率は5/8である、ということを意味しています。
タイムパラドックスはなんとしても避けなければいけないので、確率はねじ曲げられなければいけません。したがって上の図は次のようになります:
面白いのは、今や○や●の中に書かれた数字はすべて1になっているという点です。つまり、タイムパラドックスは100%回避されるのです!
もちろんこれは当然です。タイムパラドックスが100%回避されるように、矢印の数字を計算したのですから、どの状態であろうとタイムパラドックスが回避される確率が1になるというのは当たり前です。しかしこのように図で見て一目瞭然になると、なかなか気持ち良いものです。
ちなみに、この状態から同じ未来の情報「未来に◎になる」を使って、さらに確率ねじ曲げ計算をしたとしても、数字は変わることはありません。これは単純な話で、「未来に◎になる」ように確率を既にねじ曲げたのですから、それ以上ねじ曲げなくても確実に◎になるのです。確率ねじ曲げは、矢印の前と後の○の中に書かれた数字の比をかけ算して行われるため、一度すべてが1になると、もうそれ以上矢印の数字は変わらないのです。