[PR]
[PR]上記の広告は3ヶ月以上新規記事投稿のないブログに表示されています。新しい記事を書く事で広告が消えます。
プログラミング、3DCGとその他いろいろについて
[PR]上記の広告は3ヶ月以上新規記事投稿のないブログに表示されています。新しい記事を書く事で広告が消えます。
タイムマシンで過去に戻りまだ子供のおじいさんを殺してしまうことは、パラレルワールドでもない限り不可能なはずですが、ではどのようにしてタイムパラドックスは解消されるのでしょう?一見、一番起こりやすそうな奇跡(過去に戻ったが不審な見かけのため逮捕された)だけが起きパラドックスが解消されそうですが、じっさいは、ある程度ばらつきがあります。一見ありえないように思えること(銃弾がおじいさんに当たる直前に消滅した、おじいさんが3日後蘇った、など)も、起きる確率は0ではありません。何もしなくても100%タイムパラドックスが回避できるルートと、奇跡が起きなければタイムパラドックスが回避できない危険なルートがあったとして、前者が選ばれる確率は、後者に比べれば高いものの、100%ではないのです。
思考実験してみましょう。タイムパラドックスを解消するために確実な道と不確実な道があったとします。どちらを選ぶべきでしょうか?
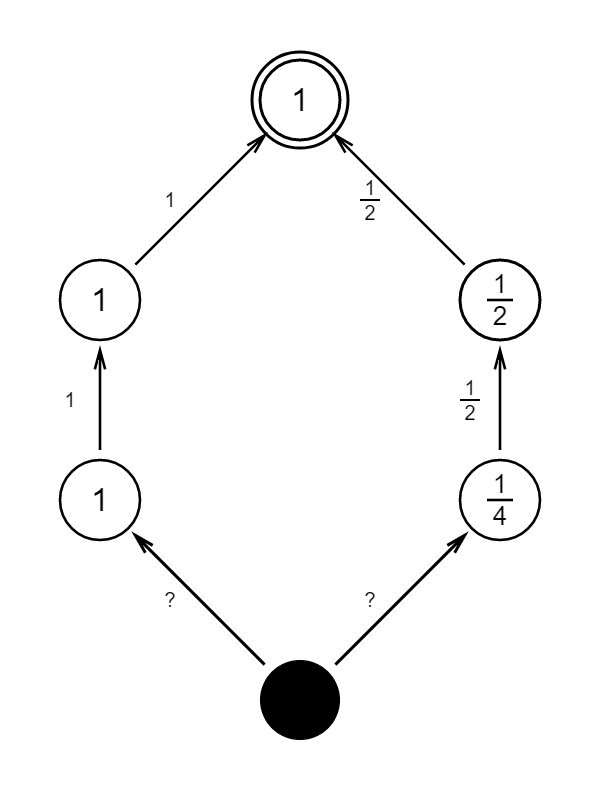
この図はタイムパラドックスを解消するための2つの道を表しています。現在地が下の●で、未来の満たすべき状態が一番上の◎です。●から◎へ移動しなくてはいけないのですが、それには2つの道があります。
左のルートは決定論的な道で、一度この道に入ると、確実にタイムパラドックスを避けることができます。この道に入ればもう安心です。
右のルートは非決定論的な道で、この道に入ってもタイムパラドックスを避ける確率は1 / 4しかなく、全く安心できません(○の中の数字は、パラドックスを避ける確率を表しています)。もちろん、ひとたびこの道に入ると奇跡が連続して起こり、やはりタイムパラドックスは解消されます。でも軽々しく奇跡など起きてほしくないのです。というわけでやはりこのルートはなるべく避けたいものです。
人間なら、迷うこと無くほぼ100%左のルートを選ぶでしょう。右のルートを選んだら、奇跡というか…偶然だよりになってしまいます。しかしタイムトラベルの計算をするときには、そうも言っていられません。というのも、100%左を選ぶということ自体が、すでに胡散臭い奇跡だからです。もしタイムトラベルしていないとき、左と右の確率が50%50%だったとしたら、それを基準にして確率を微調整すべきでしょう。100%0%にするのは不自然なのです。
上の図の確率をタイムトラベルによって補正して計算するとこうなります:
赤い数字はタイムトラベルによる補正後の数字、黒い数字は補正前の数字です。左のルートはタイムトラベルがあろうとなかろうと決定論的なので、数字は変わりません。決定論的なルートは、タイムトラベルによる確率の歪みの影響を受けないのです。
(残念なことに、現実世界には真の意味で決定論的なものなど存在しないことがわかっています。アインシュタインはだいぶ粘ったようですが…現実世界にある”決定論的なシステム”とは、実際には決定論にかなり近い非決定論なのです。ということは?現実世界にあるすべてのものは、タイムトラベルによる確率の歪みの影響を受けるというわけです!現実世界で上の図のようなことをしたら、数字は全部真っ赤っ赤になるでしょう。)
しかしここで注目してほしいのは、下の●からのびる2本の矢印です。それぞれ元の確率は1/2ですが、タイムトラベルによる補正のために左のルートに行きやすくなっています。左のルートは奇跡抜きで確実にタイムパラドックスを回避できるからです。しかし既に述べたように、左のルートが選ばれる確率が高くなる、というのも不自然な奇跡なのです。というわけで、左に行く確率が100%まで上昇することはなく、80%止まりというわけです。